產品分類
已瀏覽商品

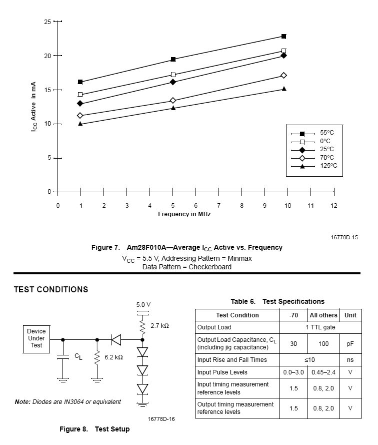
1Mb(128K*8) FLASH

NT$105
Part No:
10086
Product No:
AM28F010A-120JC
品牌:
AMD
說明:
技術文件:
包裝單位:
1 個
門市據點各店庫存門市儲位位置圖倉庫儲位位置圖
龍山門市0
光復門市290170-2-06-C170-F-07-E
购买数量:
產品特性
  • 特性

AMD-AM28F010A-120JC































Top

HDMI選擇器 3 進一出 (切換器) MINI-HDMI-301

Part No.: #59798
Product No.: 111118888
包裝單位:
10PC
NT$500
數量: