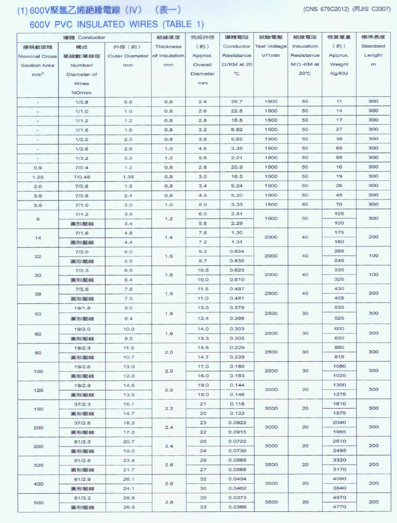
白色-單芯單支電源線 1.6mm*1C/600V
NT$26
Part No:
107104
Product No:
IV1.6-1C-W-門市商品
品牌:
Walsin
說明:
技術文件:
包裝單位:
1 M










