產品分類
已瀏覽商品

3P/TO3PN (ROHS)

NT$145
Part No:
10949
Product No:
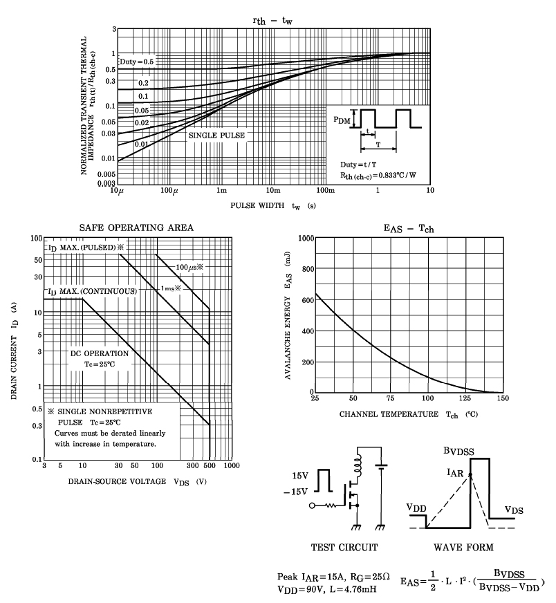
2SK2698
品牌:
TOSHIBA
說明:
技術文件:
包裝單位:
1 個
門市據點各店庫存門市儲位位置圖倉庫儲位位置圖
龍山門市0
光復門市12170-2-06-A
购买数量:
產品特性
  • 特性

TOSHIBA_2SK2698







        




     

     









                                 



            


             
Top

HDMI選擇器 3 進一出 (切換器) MINI-HDMI-301

Part No.: #59798
Product No.: 111118888
包裝單位:
10PC
NT$500
數量: