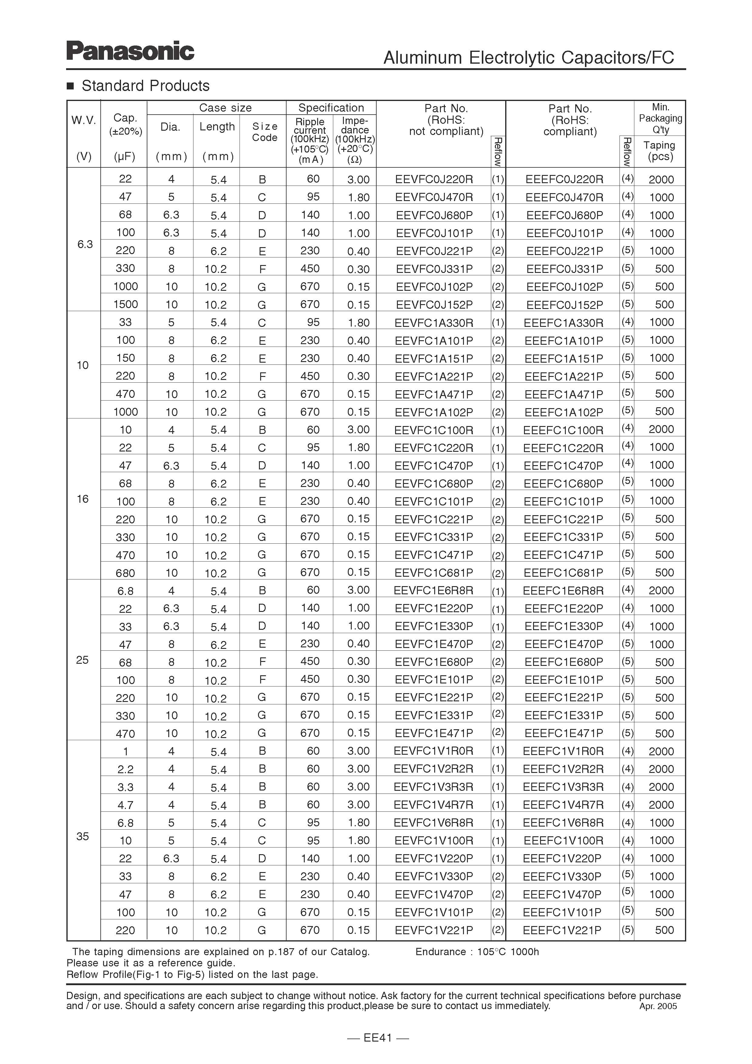
SMD電解電容 10uF/35V ±20%
NT$80
Part No:
109563
Product No:
EEEFC1V100R
品牌:
Panasonic
說明:
技術文件:
包裝單位:
20 PC







