產品分類
已瀏覽商品

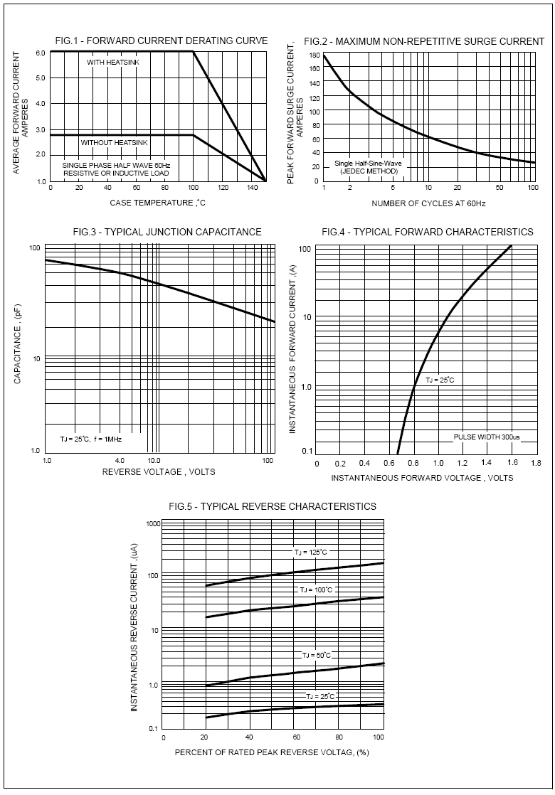
GBU (ROHS) 600V/6A

NT$86
Part No:
112438
Product No:
GBU606
品牌:
LITE-ON
說明:
技術文件:
包裝單位:
2 PCS
門市據點各店庫存門市儲位位置圖倉庫儲位位置圖
龍山門市0
光復門市104170-2-02-A170-31-B
购买数量:
產品特性
  • 特性
                   LITEON_GBU6005 Thru GBU610







      







       














             















                
Top

HDMI選擇器 3 進一出 (切換器) MINI-HDMI-301

Part No.: #59798
Product No.: 111118888
包裝單位:
10PC
NT$500
數量: