產品分類
已瀏覽商品

0402-10uF/10V ±20% X5R

NT$146
Part No:
116189
Product No:
CC0402MRX5R6BB106
品牌:
YAGEO
說明:
技術文件:
包裝單位:
50 PC
門市據點各店庫存門市儲位位置圖倉庫儲位位置圖
龍山門市-50
光復門市5253170-2-20B170-F-12-B
购买数量:
產品特性
  • 特性

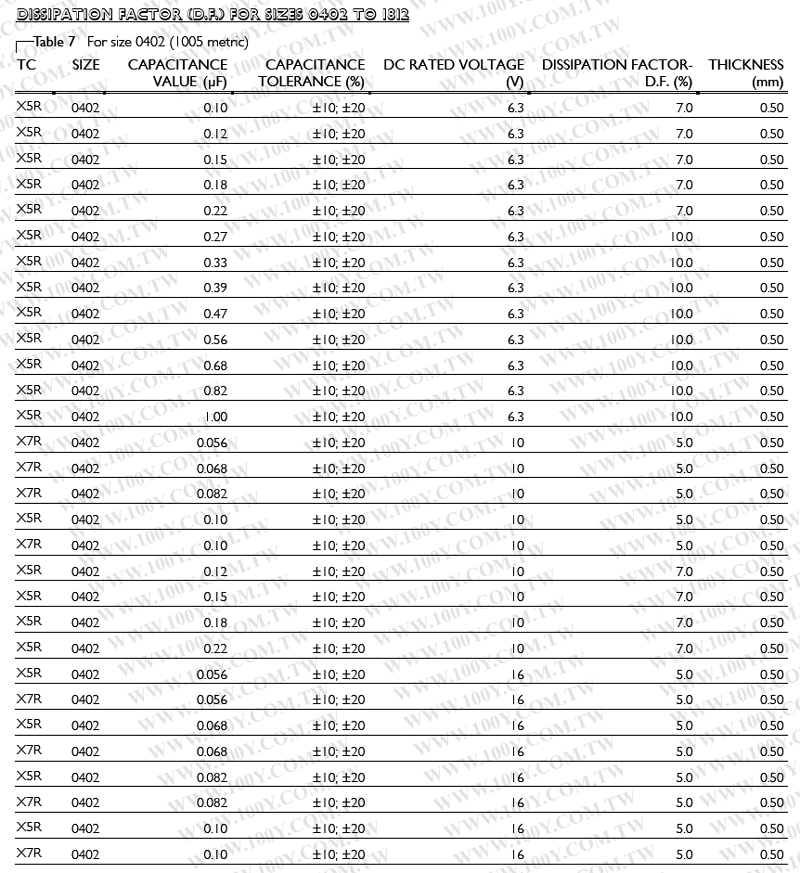
0402系列

 

 

 

積層陶瓷電容

 

 

 

 


 

 

 

 

 

 

 

 

 

 

 

 

 

 

 

 

 


Top

HDMI選擇器 3 進一出 (切換器) MINI-HDMI-301

Part No.: #59798
Product No.: 111118888
包裝單位:
10PC
NT$500
數量: