產品分類
已瀏覽商品

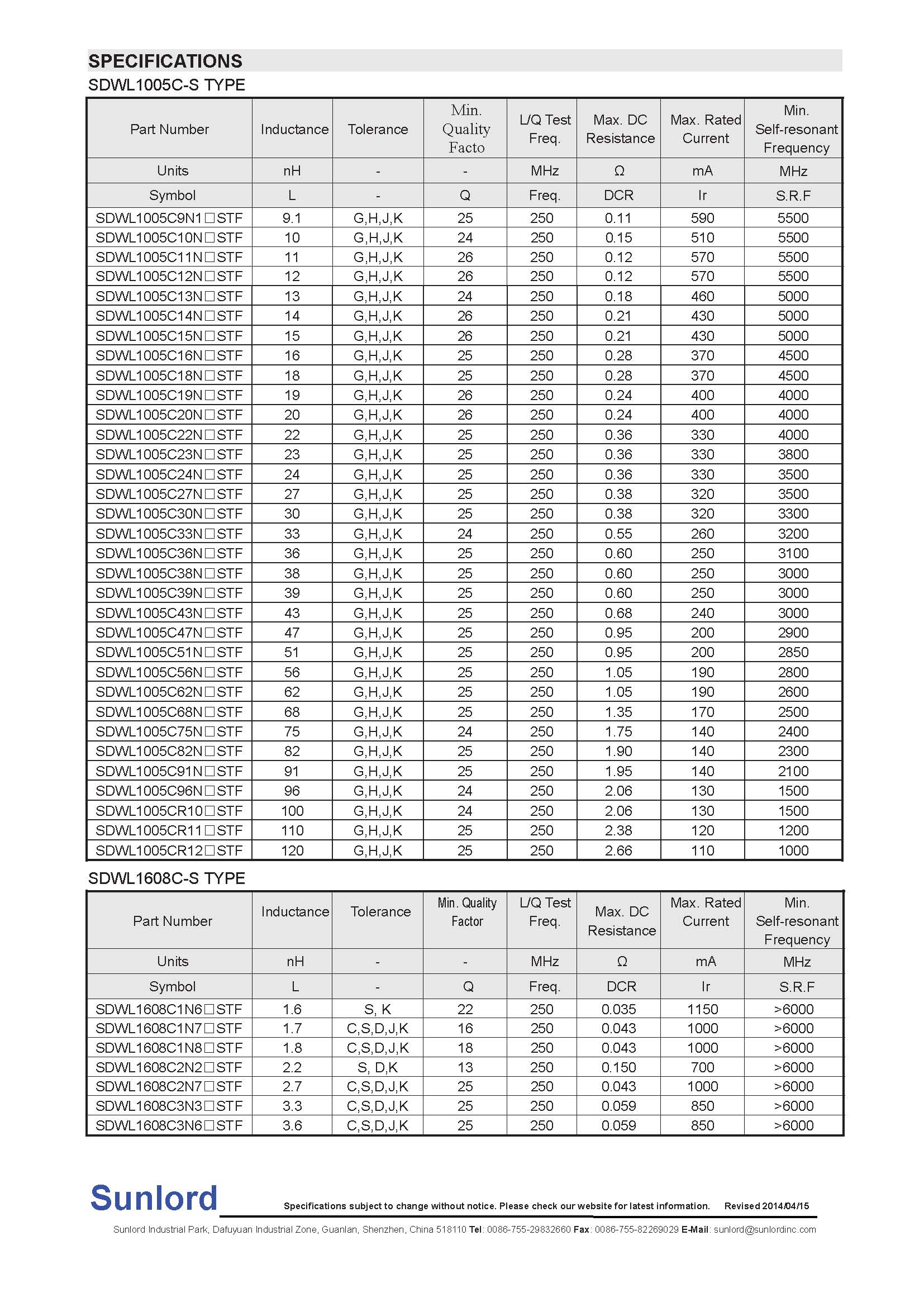
0603高頻繞線電感 1.8nH ±0.3nH

NT$55
Part No:
134853
Product No:
SDWL1608C1N8SSTF
品牌:
說明:
技術文件:
包裝單位:
20 PCS
門市據點各店庫存門市儲位位置圖倉庫儲位位置圖
龍山門市2920167-3-23
光復門市0
购买数量:
產品特性
  • 特性

0603高頻繞線電感

 



Top

HDMI選擇器 3 進一出 (切換器) MINI-HDMI-301

Part No.: #59798
Product No.: 111118888
包裝單位:
10PC
NT$500
數量: