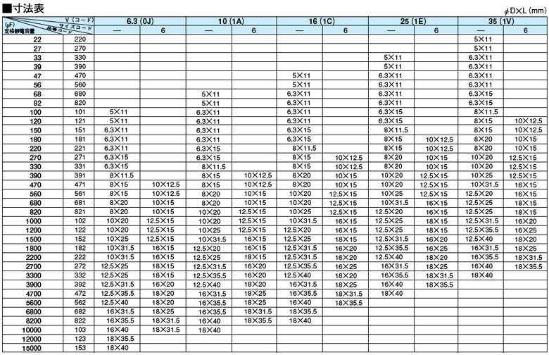
PJ系列 2200uF/35V ±20% 105℃ 16*35mm
NT$70
Part No:
160582
Product No:
PJ-2200uF/35V
品牌:
NIPPON CHEMI-CON
說明:
技術文件:
包裝單位:
2 PCS










