產品分類
已瀏覽商品

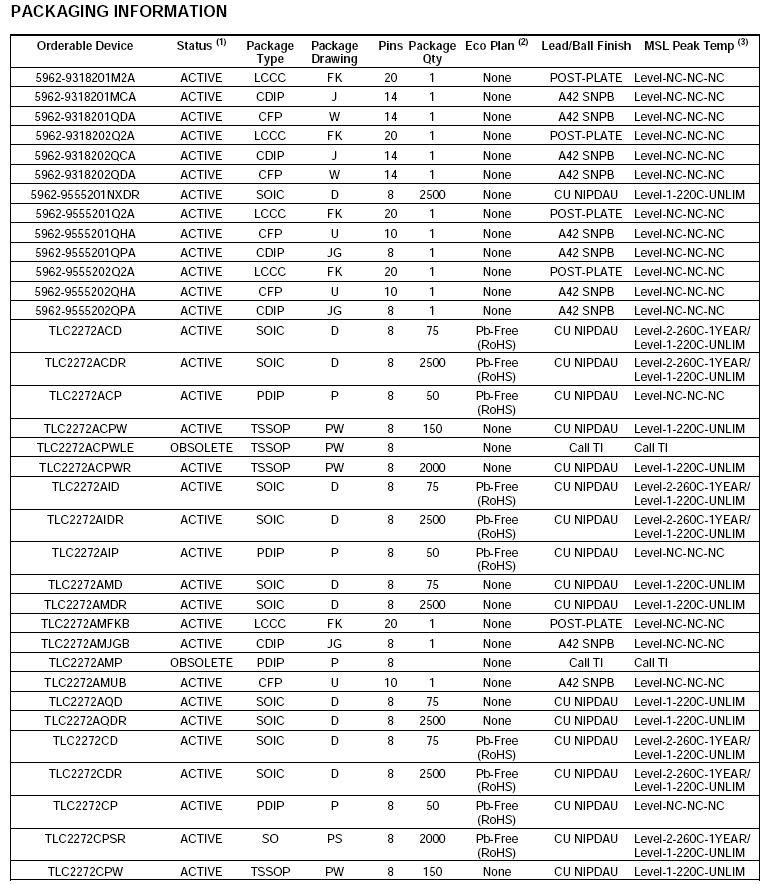
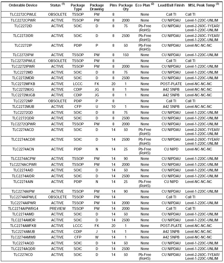
8P/DIP 雙路低雜訊軌至軌運算放大器

NT$168
Part No:
18435
Product No:
TLC2272CP
品牌:
T.I.
說明:
技術文件:
包裝單位:
1 個
門市據點各店庫存門市儲位位置圖倉庫儲位位置圖
龍山門市0
光復門市16170-2-06-L
购买数量:
產品特性
  • 特性

T.I.-TLC2272CP
 
 












Top

HDMI選擇器 3 進一出 (切換器) MINI-HDMI-301

Part No.: #59798
Product No.: 111118888
包裝單位:
10PC
NT$500
數量: