產品分類
已瀏覽商品

4P/DIP 光電耦合器

NT$40
Part No:
33183
Product No:
TLP523
品牌:
TOSHIBA
說明:
技術文件:
包裝單位:
2 PC
門市據點各店庫存門市儲位位置圖倉庫儲位位置圖
龍山門市0
光復門市104170-2-6-R
购买数量:
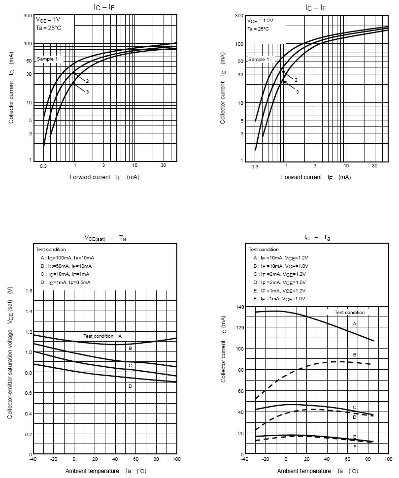
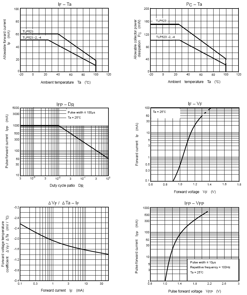
產品特性
  • 特性

TOSHIBA-TLP523

光耦合器GaAs Ired &光電電晶體
 
 




























Top

HDMI選擇器 3 進一出 (切換器) MINI-HDMI-301

Part No.: #59798
Product No.: 111118888
包裝單位:
10PC
NT$500
數量: