產品分類
已瀏覽商品

3P/TO-220

NT$95
Part No:
3614
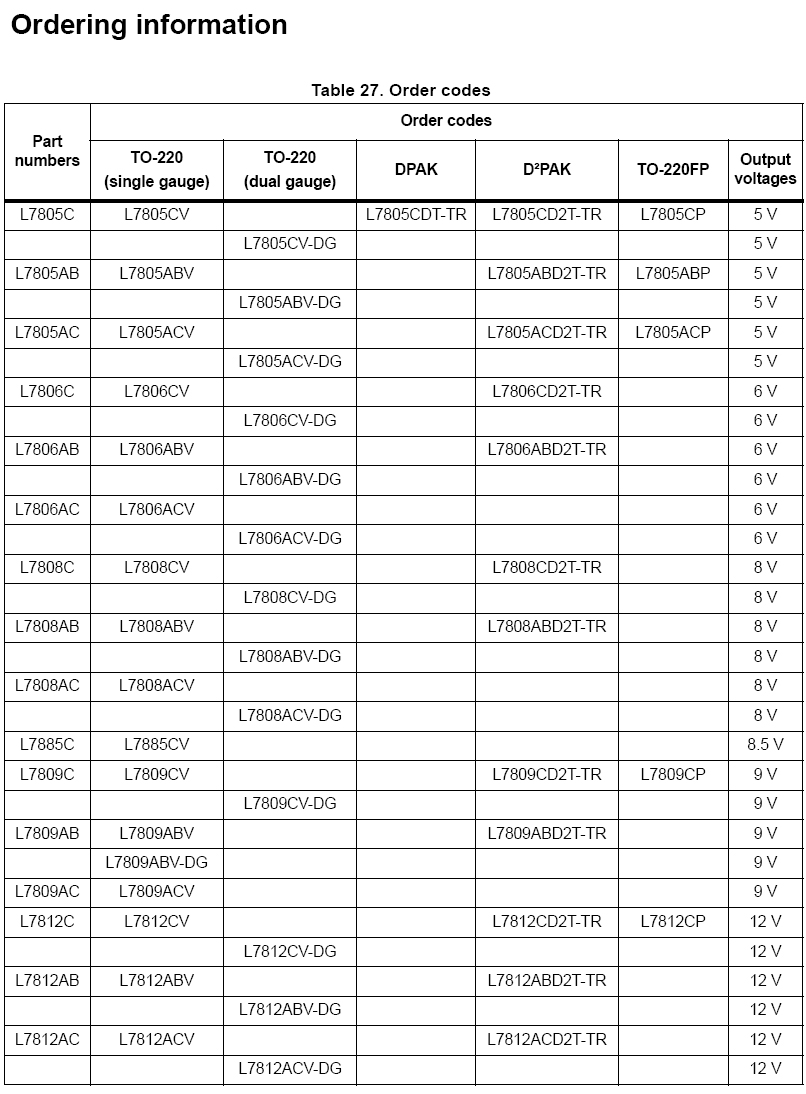
Product No:
L7808CV
品牌:
ST(SGS)
說明:
技術文件:
包裝單位:
5 個
門市據點各店庫存門市儲位位置圖倉庫儲位位置圖
龍山門市0
光復門市30170-2-06-O170-F-7-C
购买数量:
產品特性
  • 特性
                                  ST_L7808CV







    






    



















                 
Top

HDMI選擇器 3 進一出 (切換器) MINI-HDMI-301

Part No.: #59798
Product No.: 111118888
包裝單位:
10PC
NT$500
數量: