快熔保險絲 15A/600V
- 特性
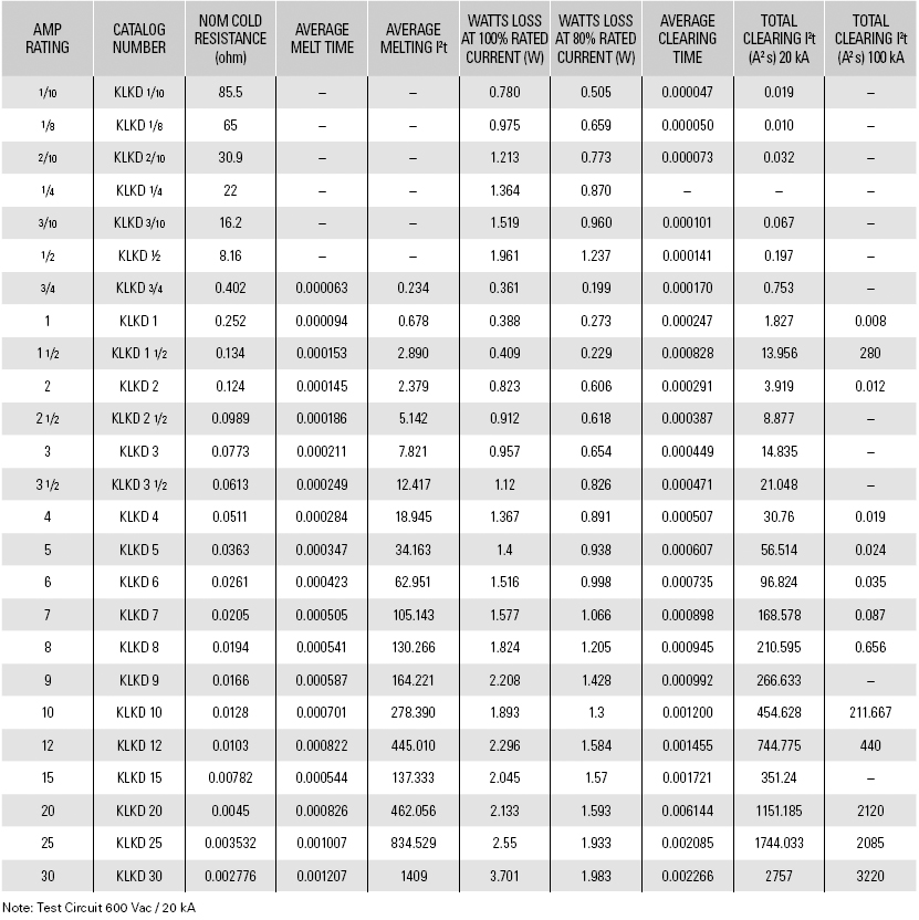
KLKD Series 10x38 FUSES
Description
The KLKD fuse series is fast-acting with a high DC voltage rating. This family of Midget style fuses (10 x 38 mm) is used in solar combiner boxes and in circuits with DC fault currents up to 50,000 amperes. KLKD fuses are available in standard and board-mount configurations. In addition, the KLKD series has been designed to meet both the UL and IEC photovoltaic fuse standards. Littelfuse offers a wide range of ampere ratings to match specific requirements in a variety of applications.
Features/Benefits
●Designed to UL and IEC photovoltaic specifications
●1/10 - 30 A ratings available
●50,000 A Interrupting Rating
●Available in ferrule or PCB mount options
●1-5 A meets UL1741 GFDI requirements
Specifications
Voltage Rating: 600 Vac/Vdc
Amperage Rating: 1/10, 1/8, 2/10, 1/4, 3/10, 1/2, 3/4, 1, 11/2, 2, 21/2, 3, 31/2, 4, 5, 6, 7, 8, 9,10, 12, 15, 20, 25, 30
Interrupting Ratings: AC: 100 kA
200 kA Littelfuse self-certified
DC: 1/10-30: 10 kA (UL 2579)
1/10-30: 50 kA (UL 248-14)
Material: Body: Melamine / Caps: Copper Alloy
Operating Temperature: See Rerating Curve
Approvals: UL 2579 Listed (File: E339112)
IEC 60269-6 (2-25 A)
VDE Certified (No. 40033094)
UL 248-14 Listed (File: E10480)
CSA Certified Ferrule only (File: LR29862)
Environmental: RoHS Compliant
Country of Origin: Mexico
Part Numbering System
Applications
Combiner boxes and Inverters
Power supplies
Desktop meters
Dimensions Inches (mm)
Ordering Information
Electrical Specifications





