產品分類
已瀏覽商品

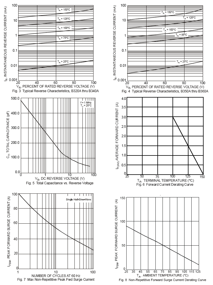
肖特基二極體 30V 3A

NT$50
Part No:
66960
Product No:
B330A-13-F
品牌:
DIODES
說明:
技術文件:
包裝單位:
10 PC
門市據點各店庫存門市儲位位置圖倉庫儲位位置圖
龍山門市0
光復門市540170-2-02-E170-F-31-C
购买数量:
產品特性
  • 特性
                           DIODES_B320A-B360A







      


        


             



             


       




       







                  
Top

HDMI選擇器 3 進一出 (切換器) MINI-HDMI-301

Part No.: #59798
Product No.: 111118888
包裝單位:
10PC
NT$500
數量: