產品分類
已瀏覽商品

DO-214AA

NT$100
Part No:
69974
Product No:
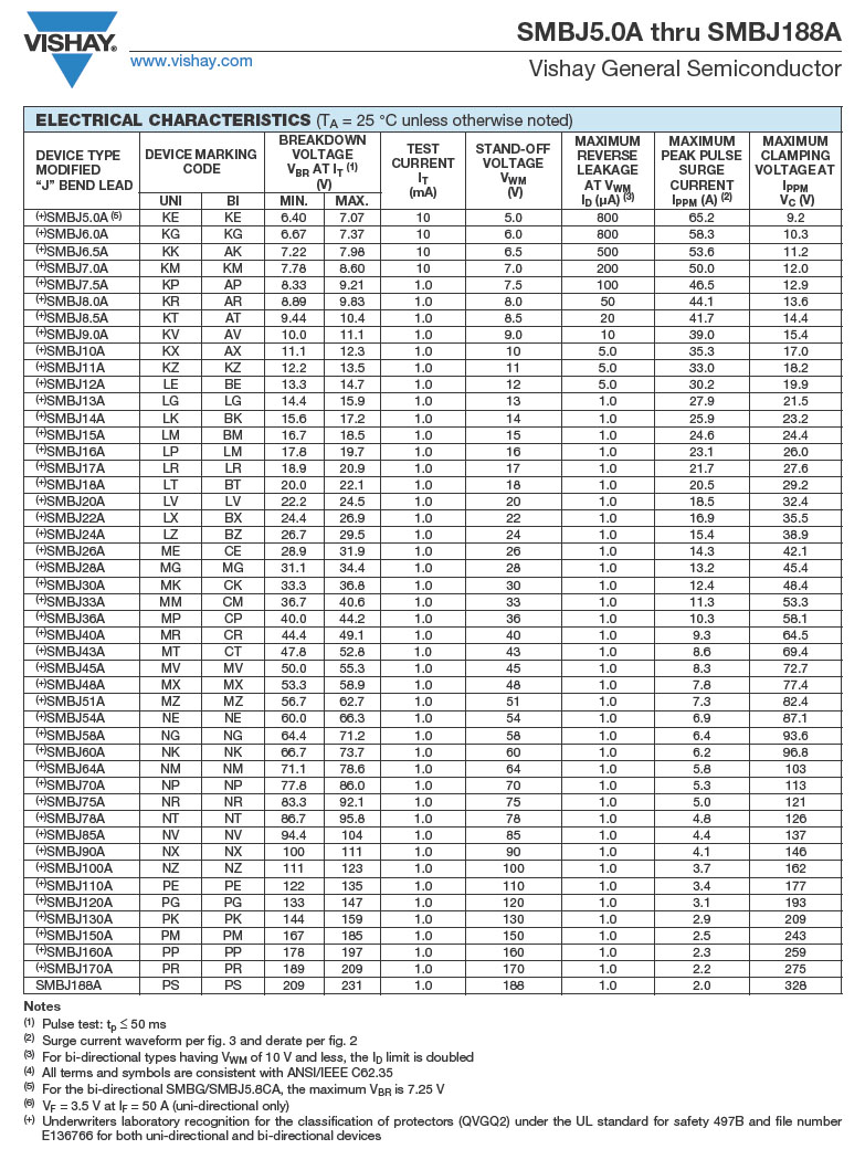
SMBJ10CA
品牌:
VISHAY
說明:
技術文件:
包裝單位:
10 PC
門市據點各店庫存門市儲位位置圖倉庫儲位位置圖
龍山門市0
光復門市451170-2-02-D
购买数量:
產品特性
  • 特性

SMBJ10CA

 

DO-214AA

 


 


Top

HDMI選擇器 3 進一出 (切換器) MINI-HDMI-301

Part No.: #59798
Product No.: 111118888
包裝單位:
10PC
NT$500
數量: