產品分類
已瀏覽商品

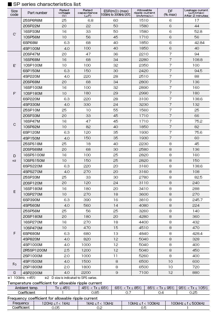
固態電解電容 820uF/4V

NT$88
Part No:
82657
Product No:
4SP820M
品牌:
SANYO
說明:
技術文件:
包裝單位:
10 PC
門市據點各店庫存門市儲位位置圖倉庫儲位位置圖
龍山門市90167-3-62
光復門市120168-2-23-B
购买数量:
產品特性
  • 特性

SANYO-4SP820M



Top

HDMI選擇器 3 進一出 (切換器) MINI-HDMI-301

Part No.: #59798
Product No.: 111118888
包裝單位:
10PC
NT$500
數量: