產品分類
已瀏覽商品

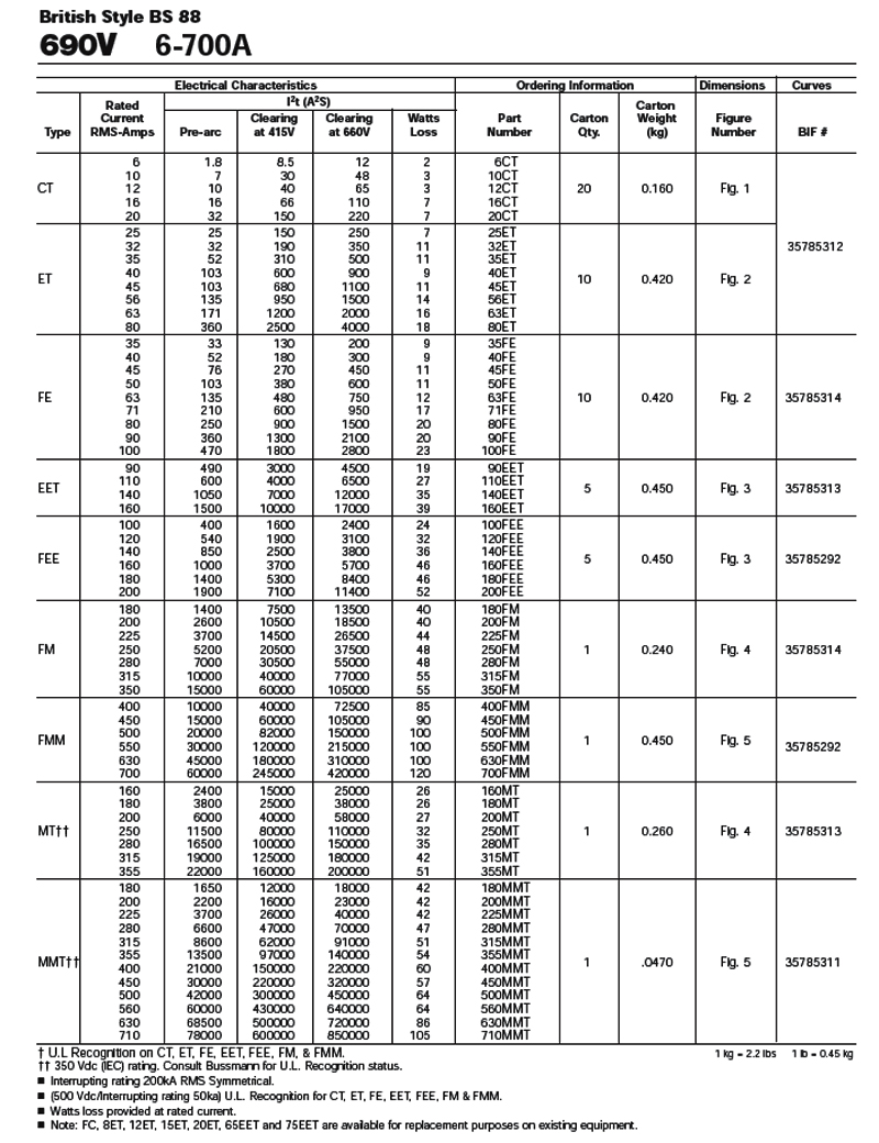
英制快速熔斷器 40A/690V

NT$265
Part No:
86407
Product No:
40ET
品牌:
Bussmann
說明:
技術文件:
包裝單位:
1 PC
門市據點各店庫存門市儲位位置圖倉庫儲位位置圖
龍山門市3167-2-20
光復門市2170-2-39A170-F-03-B
购买数量:
產品特性
  • 特性

BS88系列

 

 

快速熔斷器

 

 


 

 

 

 

 

 


Top

HDMI選擇器 3 進一出 (切換器) MINI-HDMI-301

Part No.: #59798
Product No.: 111118888
包裝單位:
10PC
NT$500
數量: